After leveling up 5e and other stages of DnD, you have to decide on the class you want to keep leveling up A good number of people would choose the class they were previously in, which is absolutely fine If you are one of them, you have to roll your classes Hit Dice, and at the same time, add your Constitution modifier Dnd 5e level up xp chart Dnd 5e level up xp chart2 you need almost twice as much xp to get to 5e's level than 35's level (190 * 2 = 380, so it is off from double) 3 35's leveling system was so simple that you did not need the chart Take your current level and times it by 1000, and add that number to the amount of xp you needed to get to this Dnd xp levels dnd 5eall games How much experience is needed for each level and the proficiency bonus gained Dnd 5e xp per level How to use this calculator Character progression for 5th edition d&d My players enjoy getting xp per session, and i enjoy giving it out, as well as bonus xp for campaign milestones and good rp

Milestone Vs Xp In D D How To Level Your Party The Level Up Corner
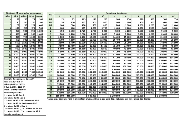
D&d xp levels 5e
D&d xp levels 5e-Levels are the basic measure of player character advancement in Dungeons & Dragons Characters gain levels by earning experience points (XP) When a character's total XP equals or exceeds the amount needed for the next level, the character gains a level Every time a character gains a level, the character gains a number of maximum hit points as specified in the character's classWelcome to the 5e System Reference Document (SRD)!




Pathfinder Xp And Why I Hate It Mr Sharp S Gaming Emporium
Dungeons and Dragons Mathematics To save you all the trouble of building the table yourselves, here is the standard D&D XP table from level 1 to 50, listing the minimum XP required to attain that level Level Min XPBetween Adventures Adventuring Gear5E is certainly not a perfectly balanced game but what little modicum of balance it does have is assuming equal levels 5e has a concept of 'bounded accuracy' that previous editions did not When trying to balance a 'linear fighter' with a 'quadratic wizard', one way to solve the problem is to let the fighter level faster 5e essentially has linear wizards as well as linear
For example, if a conflict includes four monsters worth a total of 500 XP, you would multiply the total XP of the monsters by 2 for an aligned value of 1,000 XP Leveling Up by Challenge Rate (CR) As your character goes on adventures and overcomes challenges, they gain experience, represented by 5e experience pointsVrstic The XP Thresholds by Character Level table has four XP thresholds for each character level, one This is the core rulebook chart provided by the Player's
Cantrips that deal damage increase by 1 additional damage die at levels 22 (5), 28 (6), 35 (7), 39 (8), 45 (9), and 50 (10) If you're a Dragonborn, your breath weapon moves up to 6d6 at 21st level, 7d6 at 26th level, 8d6 at 31st level, 9d6 at 36th level, 10d6 at 41st level, and 11d6 at 46th levelsEvery 4 levels (levels 4,8,12,16 and ) you also get what's called an ability score increase, or ASI Your ability scores are the primary stats on the left side of your character sheet, Strength, Dex, etc Essentially you get two points added to whatever score you want Either two points to one score, or one point to two different onesFirst, fill in the number of characters in your party and their level If characters in your party are at different levels, add multiple rows and include each group of characters with the same level in their own row Next, press CALCULATE to see the encounter XP thresholds for the party




D D 5e By Roll Roll Help Center




Delta S D D Hotspot Od D Experience Levels
In D & D 5e, there has even been an Unearthed Arcana which discusses how there are three pillars to D&D and how each should be rewarded It doesn't really dictate how the experience should be given to players, but it's important to ensure that they understand, even implicitly, that there is value to choosing options which aren't just fighting5e SRD Creating a Character Races Dwarf;Normal start, plus two uncommon magic items, and 5,000 1d10x250 gp Normal start, plus three uncommon magic items, one rare item, and 5,000 1d10x250 gp 17 Normal start, plus two uncommon magic items, and ,000 1d10x250 gp Normal start, plus two uncommon magic items, one rare item, and ,000 1d10x250 gp



D D 5e How Fast Is The Default Advancement En World Dungeons Dragons Tabletop Roleplaying Games




Level Experience 5e
Rising from 14th to 15th level requires more XP than any other advancement (below 21st level) Part of this is due to the factoring in of the Druid class advancement; If the players have an issue you can settle a dispute This gave 50 XP and you need 900 more to level is an easily solvable dispute If the players still have a problem with this, you can find how others have dealt with these situations in the past online XP is tried and tested with far more resources to help you as a dungeon master Not subjectiveContinue Reading In general, XP works as a system that indicates the players growing in skill as adventurers The more XP = the higher the level The abilities that the XP unlocks via obtaining new levels show how they learn new things as they grow There are three ways, that I know, of how DMs can handle XP




Character Advancement Table The World Of Yerth D D 4e Campaign




Navy Dm Here Is A Table I Made For Non Combat Award Based On Apl Dnd
For example, if a conflict includes four monsters worth a total of 500 XP, you would multiply the total XP of the monsters by 2 for an aligned value of 1,000 XP Leveling Up by Challenge Rate (CR) As your character goes on adventures and overcomes challenges, they gain experience, represented by 5e experience pointsDnD And I advocate awarding everyone the XP for the highest character level because that lets lowerlevel players catch up since the XP it takes to get to the next level rises so much, even if the XP gap among characters is increasing, the level gap will tend to decrease and keep the party together dnd level systemYour levels in all your Classes are added together to determine your character level For example, if you have three levels in Wizard and two in Fighter , you're a 5thlevel character As you advance in levels, you might primarily remain a member of your original class with just a few levels in another class, or you might change course entirely, never looking back at the class you left behind




Why Is The Experience Point Progression In 5th Edition D D Uneven Role Playing Games Stack Exchange




Spy 5e Monsters D D Guide 5efeats We Best
Your GM determines a lot about when or where you get it Let's touch on what it means to level up Let's talk experience with our guide on how to level up DND 5E How to Level Up DnD 5e Your character levels up by accumulating experience pointsLevel Base Save Bonus (Good) Base Save Bonus (Poor) Base Attack Bonus (Good) Base Attack Bonus (Average) Base Attack Bonus (Poor) XP Class Skill Max Ranks CrossClass SkillDungeons and Dragons (D&D) Fifth Edition (5e) Classes A comprehensive list of all official character classes for Fifth Edition Get free online courses from f




Pin On Npc Monsters




Mark Sherlock Hulmes Last Week I Began Trialling A New Xp System For Highrollersdnd That Tries To Give More Transparency For Players Award Xp For Things Outside Of Combat
Refer to the Character Advancement table to see which XP totals correspond to which character levels Suppose you start as a level 1 character with no XP When you accumulate 300 XP, you become level 2 If you gain 600 more XP, your total XP becomes 900, and so you level up and reach level 3 And so on AD&D Monster Levels and XP In Original D&D, all of the hostile dungeontype creatures (basically the first page of monster listings, Vol2, p 3) are split into one of the various Monster Level Tables from 16 (for both wandering monsters and random stocking; D&D 5e is designed to encourage creative solutions to the challenge posed by monsters It's intentional that, when confronted with a large group of monsters, "kill them all" may not be the best approach Discourages "kite the whole kobold tribe" metagaming tactics to maximize the party's XP gained




Pathfinder Xp And Why I Hate It Mr Sharp S Gaming Emporium



1
Gaining Levels Under this system, you gain a level each time you accumulate 100 XP When you cross that threshold and increase your character's level, you reduce your current XP total by 100 Dividing XP Under this system, XP is not usually divided among party members The award for an adventure is the same for all members of the partySep 11, 14 2 you need almost twice as much xp to get to 5eLevel 1 TurtleOil DM 3 points 2 years ago This existed in both OD&D and 35, as gold = exp and exp = crafting respectively There were feats that gave heirloom or ancestral weapons, which in turn were powered by sacrifice of the self (meditation and xp cost) XP component as gold was also covered, usually on a 15 ratioEpic Levels and Class Mastery For every 30,000 XP after 355,000, the player can choose one of the following options An Epic Boon, as per the DMG, page 232 A new Feat/ASI, as per the PHB page 165, although at epic levels the player is no longer restricted in




Pathfinder Xp And Why I Hate It Mr Sharp S Gaming Emporium



Revised Quick Match Up Charts Ken The Dm
5e XP vs Milestones An InDepth Look The Xp Approach The first of the two options we are going to look at is the more prominently used in the D&D community, the xp system In XP systems, you gain experience for overcoming challenges and defeating foes However, the DMG on page 261 does go beyond thisNot only Dnd 5e Xp Chart, you could also find others such as Dnd Exp Chart, Dnd 5E XP Table, Dnd Races 5E Chart, Pathfinder XP Chart, Dnd 35 XP Chart, Dnd 5E Level Table, Cool Dnd 5E Character Sheet, 5E Encounter Dnd Chart, Dnd 5E CR Table, Dnd 5E Armor Chart, Dnd 5E Leveling Chart, and Dnd 5E Damage Types Gaining experience in 5e is pretty similar to a lot of popular RPG video games But with a catch;



Dm Rewards Are Now Clarified For Hardbacks And Phandelver By Hour En World Dungeons Dragons Tabletop Roleplaying Games



1
At 17th level, Druids need only 500k XP to advance to the next level However, this factoring in is only partially responsible for the odd advancements at higher levelsAdventuring General Adventuring Adventuring Equipment;Beyond 1st Level Character Advancement;




Adventuring Xp Chart Dndbehindthescreen



Dnd 5e Sample Char Sheets Flip Ebook Pages 1 10 Anyflip Anyflip
For example, if you're a 4thlevel Wizard, you can recover up to two levels worth of Spell Slots You can recover either a 2ndlevel spell slot or two 1stlevel Spell Slots Arcane Tradition When you reach 2nd Level, you choose an Arcane Tradition, shaping your practice of magic through one of eight schools, such as Evocation Now, this is probably the part everyone knows But, since this is a full guide to leveling up in DnD 5e, we'll go over it When you level up in DnD 5e, your Hit Points increase You determine by how much it goes up by using your class' Hit Die and your character's Constitution modifier You also gain one more Hit Die from your class Gold as XP (Aside There is a nice series of write ups on wealth and D&D by DM David ) This is a holdover from the first edition where looting gold brought XP In the version that I am considering, I might make characters spend their hard won cash as XP This could also be a method of burning up excess gold that you hand to the party and




Leveling Beyond Unearthedarcana



Pathfinder Xp Chart
RPGBOT DnD 5e Practical Guide to Multiclassing Save rpgbotnet There are some prerequisites to multiclass into every class Typically, all that's required is an ability score of 13 or better in one or two ability scores which the class is dependent upon See the Customization Options chapter of the Player's Handbook for the table ofAs others have said, it depends, and it could take a while Somewhat similarly to AD&D, XP/Level requirements steadily increase at lower levels, and then dip between 16 and th (though in 5e that is because you're gaining much more XP per encounter at higher levels sidenote this is by design, to quickly push tier 4 characters to ) The trouble while trying to "fix" the XP rating is that there is no universal way of doing this In 5E, there is no generic rule for XP progression, the encounter XP represent more or less the strength of the PC at a given level, but from this you can't infer how long they should spend in one level before going to the next




Level D D4 Wiki Fandom




Mashing Up Milestone Xp And Inspiration In 5e D D Nerdarchy
Leveling Up As your character goes on adventures and overcomes challenges, he or she gains experience, represented by experience points A character who reaches a specified experience point total advances in capability This advancement is called gaining a level When your character gains a level, his or her class often grants additional features, The Angry GM delivers advice to players and dungeon masters of fantasy roleplaying games with humor, snark, and attitude Game masters and players are sure to find something of use, whether they are playing AD&D, D&D 35, D&D 4E, 5E, Pathfinder, D&D Next, orXP in 5e help!




Ancient Crab With Lair 5e Dnd




Milestone Vs Xp Explaining D D 5e S Complicated Leveling System




Is There A Mathematical Formula To Determine How Much Xp Is Needed Per Level Role Playing Games Stack Exchange




Milestone Vs Xp In D D How To Level Your Party The Level Up Corner




Pokemon 5th Edition Spent Some Time Making A Xp Chart Specifically For




Pathfinder House Rule Simple Experience Points Papers Pencils




D D 5e By Roll Roll Wiki




Simple Excel Experience Tracker Homebrews And Dragons



Why You Should Be Giving Out Experience Points Dump Stat Adventures




Let S Read 5e Hardcore Mode Rpgnet Forums




Creating Balanced Encounters In Dungeons Dragons 5e Halfling Hobbies Trinkets



D D 5th Edition Where Do I Find How Much Xp Is Required To Level Up Quora




Fantasy Grounds Next Level Xp Automation Dungeon Masters Guild Dungeon Masters Guild




Xp To Level 3 Is Creating Homebrew Packs For D D 5e Patreon




Flanking Response To Xp To Level 3 Dungeons And Dragons 5e Youtube



How Do You Xp In D D Ken The Dm




Why Does The Experience To Next Level Not Change Between Some Levels Role Playing Games Stack Exchange



1




Guard 5e D D 5th Edition Monster We Best




D D 5e Deconstructing 5e Typical Wealth By Level Page 2 En World Dungeons Dragons Tabletop Roleplaying Games



Blips D D 5e Rules Variant Xp For Roleplaying Scibbe Com




What Happens When I Level Up Warlock D D 5e Dreion S Den




D D 5e Character Sheet Autofill Dungeon Master Assistance




What Class Should You Play In D D A Tutorial For All Players Youtube




How To Balance Combat Encounters In Dungeons Dragons Fifth Edition Dmdave All Things Fifth Edition




5e Skill Challenges Boccob S Blessed Blog



Quick 5e To Osr Conversion Method




Bat In The Attic Breaking Down Dnd Basic Part 5




Basic Rules For Dungeons And Dragons D D Fifth Edition 5e D D Beyond




D D 5th Edition Experience Tracker Level 1 10 Dndnext




Oc I Hadn T Seen A Table That Broke Down The Xp Required To Get Parties Of 2 To 9 Characters To Certain Levels And I Figured This Was Important Info To Compile




Megadungeon Monday How To Award Xp The Angry Gm



Variant 5e Xp System Making Higher Levels Take Longer En World Dungeons Dragons Tabletop Roleplaying Games




Epic Level Characters Level 21 40 Dungeon Masters Guild Dungeon Masters Guild



How To Calculate Cr For Creatures That Have Only Class Levels D D 5e Quora



Ad D Level Averages




Megadungeon Monday How To Award Xp The Angry Gm




Why Does The Experience To Next Level Not Change Between Some Levels Role Playing Games Stack Exchange




Megadungeon Monday How To Award Xp The Angry Gm




Encounters Per Level An Alternative Xp System And Encounter Diversity Starfinder Rpg




Dungeons And Dragons 5e Dwarven Cleric The Escapist




Why Does The Experience To Next Level Not Change Between Some Levels Role Playing Games Stack Exchange




The Amalgamation 5e Dnd




D D 5 0 Next Character Sheet Part 2 High Elf Wizard 1 Acolyte Background And Gaining Levels Boo Dungeons And Dragons 5 Character Sheet Dungeons And Dragons




Dreams In The Lich House Campaign Treasure Osr Vs 5e




Original D D And 5th Edition Some Side By Side Comparisons Part I Geekdad



Character Tumbler Infinite Dragons



D D Why Is The Experience Point Progression In 5th Edition D D Uneven Quora




Why Does The Experience To Next Level Not Change Between Some Levels Role Playing Games Stack Exchange




A New Dm S Guide For Building Combat Encounters Posts D D Beyond



D D 5e Campaign Pacing En World Dungeons Dragons Tabletop Roleplaying Games




Xp Budget Chart For More Than 5 Pc S Www Newbie Dm Com




Voidtitan 5e Dnd




Average Xp Required Per Level Per Edition Of D D 0e Through 5e Osr




Race A Large Sized Race With Mechanical Balance Criticism Constructive Or Otherwise Encouraged Dungeons And Dragons Homebrew Dnd Monsters Dungeons And Dragons Rules




How Long Should It Take To Level In D D The Level Up Corner




Pathfinder Xp And Why I Hate It Mr Sharp S Gaming Emporium




Megadungeon Monday How To Award Xp The Angry Gm



Tabela Xp D D 5e




D D 5e Old School Xp And Treasure Inside The Tower Of Dust




How To Xp Good The Angry Gm




Herding Dice 5e To Age Ability Score Conversion



3




5 Runescape Skills You Can Apply To Rpgs The Dm S Tavern




Methods Madness Some Thoughs On Level Xp Progression Hp And Hp Bloat In Old School D D



Using Experience Points To Make D D More Compelling Dmdavid



D D 5e Encounter Lethality En World Dungeons Dragons Tabletop Roleplaying Games




Raging Owlbear D D 5e Fixing Rapid Low Level Advancement



Houserules Aethercoil Player S Wiki



How To Make An Rpg Levels How To Make An Rpg




5e Dmg Cr Vs Exp Kidzever




Character Sheet D D 5e 14 21 Fill And Sign Printable Template Online Us Legal Forms




How To Balance Combat Encounters In Dungeons Dragons Fifth Edition Dmdave All Things Fifth Edition




Noblecrumpet S Dorkvision Blog D D 5e Homebrew Professions




How Do I Handle Milestones For Levels Role Playing Games Stack Exchange




Kobold Fight Club Balanced Encounters On The Fly Dungeon Solvers



What Is The Dnd 5e Xp Function Dnd




Megadungeon Monday How To Award Xp The Angry Gm




Megadungeon Monday How To Award Xp The Angry Gm




D D Xp Dungeon Delve Characters Critical Hits




D D 5e Leveling Guide What Happens When You Level Up Fandomspot




Megadungeon Monday How To Award Xp The Angry Gm
0 件のコメント:
コメントを投稿